<tt id="mmm0m"></tt>
  • <tt id="mmm0m"><table id="mmm0m"></table></tt>
  • <tt id="mmm0m"><table id="mmm0m"></table></tt>
  • <tt id="mmm0m"><table id="mmm0m"></table></tt>
  • <li id="mmm0m"><table id="mmm0m"></table></li>
  • <tt id="mmm0m"><table id="mmm0m"></table></tt>
  • <li id="mmm0m"><tt id="mmm0m"></tt></li>
    <li id="mmm0m"><tt id="mmm0m"></tt></li>
  • 悅刻一手貨源批發網站

    電子煙五葉神(五葉神旗下電子煙)

    小編

    電子煙五葉神,不知道大家有沒有聽說過呢?這種電子煙的外觀非常獨特,看起來像一個香煙盒子一樣,煙霧繚繞,吸起來的時候也很舒服,但是它的危害卻是非常大的,因為里面含有尼古丁,對人體的傷害是非常大的,所以我們一定要遠離這種電子煙。如果實在想抽的話,可以選擇一些正規的品牌,比如可口可樂,雪碧等等,這些都是不錯的選擇。但是也不要長時間的吸電子煙,畢竟這種東西對身體的傷害還是非常大的。

    一、電子煙:傳統煙草減害化升級的機遇

    圖片:嘉御基金董事長 衛哲 圖片源自黑馬創業

    阿里巴巴前總裁,嘉御基金董事長衛哲在一次分享中,講述他投資理念:

    抓住新消費中的“后浪”機遇。

    “人貨場”什么樣的貨是他們感興趣的呢?

    合法成癮性!

    比如電子煙,完全是被95后推出來的新消費,而且具有合法成癮性??Х?、火鍋是成癮的,盲盒也是成癮的,人類只要一收藏就會有收藏癮。

    作為衛哲口中的“成癮消費”的代表,多年以來,全球煙草行業一直在控煙條約的限制下緩慢發展,新型煙草作為一類減害產品正逐漸被市場認可。這是在傳統煙草基礎上的一次消費升級機遇和“顛覆”。

    在傳統卷煙發展逐步滯緩的今天,以高科技、消費升級為媒介所誕生的新型煙草已經在搶占傳統卷煙市場份額,快速上升的銷售規模也反應出,消費者對于新型煙草這一新品類的認知度和接受度逐步增強。

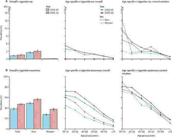
    根據《柳葉刀-公共衛生》(The Lancet Public Health)發表來自中國疾病預防控制中心慢性非傳染性疾病預防控制中心周脈耕研究員團隊及北京師范大學的聯合研究。

    研究報告了2015-16年至2018-19年期間中國18歲以上成人的過去30天電子煙使用率及其相關因素。該研究首次報告了近年中國成人電子煙使用現況和變化趨勢,為中國電子煙限售政策的評估提供了基線數據。

    研究結果表明,2015至2019年間,中國電子煙使用者數量顯著增加。2015-2016年,中國成人過去30天電子煙使用率估計為1.3%,其中男性為2.5%,女性為0.1%。

    演變到了2018-2019年,中國成人電子煙使用率從1.3%上升到1.6%,新增成人電子煙用戶約為335萬,其中男性為320萬,女性為15萬。

    研究特別關注了中國18至29歲青壯年電子煙使用情況。中國18-29歲青壯年電子煙使用率從2015-16年的2.0%顯著上升至2018-19年的2.7%。

    而思摩爾,作為全球最大的電子霧化設備制造商,繼斬獲年度最具投資價值IPO、入選中國500強民營企業后,又憑借FEELM霧化技術入選“2020中國新經濟之王最具影響力企業”。

    數據顯示,從2013年至2018年,全球電子霧化設備市場規模從14.09億美元增長至51.47億美元,復合年增長率為29.6%。

    到2023年,全球電子霧化設備的市場規模預期將達283.94億美元,自2018年起復合年增長率為40.7%。

    全球有超過1200家電子霧化設備制造商,且大部分電子霧化設備制造商為小中型企業。行業內數量眾多的企業令全球電子霧化設備市場競爭變得激烈,由于行業壁壘高,龍頭企業還是存在著明顯的優勢。

    思摩爾是提供霧化科技解決方案的全球領導者,是全球最大電子霧化設備制造商。根據弗若斯特沙利文的資料,按收益計,于2019年,思摩爾占總市場份額的16.5%。

    這家市占率相當有地位的公司的發展,足以說明電子煙市場的發展進程。通過思摩爾國際(06969.HK)在2016-2019年的報表可以很明確的知道,整體規模超高速的增長,主營業務收入由7.07億增長至76.11億,復合增速達到120.8%,營業收入翻了十倍。

    作為一家代工企業,公司2019年在全球的市占率比2018年提高了6.4個百分點。公司2019年營業收入76.11億元人民幣,但目前資本市場給出的市值是近2000億港元,足見其勢。

    二、電子煙市場的玩家

    目前,市場上的電子煙有幾個頭部玩家:

    悅刻RELX

    主打低端電子煙普及市場,霧化市場,占領了 70%的電子煙銷售市場,且已經吸引了大量的風投進入,估值達到 24 億美元。

    柚子Yooz、魔笛

    主打年輕人霧化市場,分別占領大概 3-5%的電子煙銷售市場。

    羅永浩創業項目 " 小野電子煙 "

    目前已完成 3000 萬元首輪融資。這是 " 小野電子煙 " 創立以來獲得的第一筆外部資金。參投機構或為君盛投資及傳統煙草品牌紅塔集團旗下某子公司。

    為了抓住新型煙草產品的發展趨勢,五葉神集團投入巨資設立新型電子煙研發制造公司“新火瑞升”以及電子煙品牌營銷公司“徠米”。

    自2020年才開始打市場的徠米,快速就取得了較好的第二梯隊前列的成績。

    徠米公司隸屬于五葉神集團有限公司?!皬泼住惫臼俏迦~神集團孵化的一個電子煙營銷公司,負責打造旗下的新型電子煙品牌“徠米LAMI”以及“Zero”。

    “徠米LAMI”為霧化電子煙品牌,而“Zero” 為加熱式非燃燒的煙彈品牌,可適配日本知名的IQOS 煙桿。

    五葉神集團已經有 20 多年的煙草經營和煙油調配經驗,具備深厚的供應鏈基礎和雄厚的資金實力。旗下神農煙科一直致力于傳統煙草的減害升級產品研發,以及新型電子煙煙油配方,加熱不燃燒煙彈配方的研發。五葉神作為傳統香煙品牌的定位就是減害型香煙。

    2015 年五葉神集團就已經開始了新型電子煙的研發,2014 年開始,前前后后投入了三四千萬元,設立新火公司,在東莞設廠,生產制造霧化電子煙以及加熱不燃燒煙彈。

    其研發制造的徠米煙彈,解決了眾多品牌存在的煙油泄露的問題。

    更為重要的是,五葉神集團掌握了電子煙產業鏈的核心環節,生產供應鏈盡在掌控中,使得產品質量有保證,在產品成本上也有明顯的優勢,使得徠米在市場上更容易形成產品的差異化。市面上大多數的電子煙品牌,包括龍頭品牌悅刻并不掌握供應鏈。

    徠米團隊也有多年的線下鋪設店鋪和行銷經驗,擅長品牌營銷以及品牌塑造, 市場造勢,制造營銷話題。

    徠米核心團隊成員中也有具備煙油口味研發能力的成員,進行類似產品經理和對工廠進行生產指導的工作,使得市場對生產的指導反饋能力更為緊密。

    徠米電子煙品牌產品定位為中高端的電子煙品牌,旗下兩個品牌:

    Lami品牌,屬于霧化電子煙煙桿和煙彈產品,和其他品牌的區別是口味特別豐富多樣,是主打煙油味道的產品,而且煙油調制特別純正,賣點為消費者感受順喉,霧化能力強,滿足對價格不太敏感的高端人群的口味需求。

    旗下品牌Zero,為適配日本知名電子煙品牌Iqos 的加熱非燃燒的非煙草煙彈品牌煙彈,該煙彈因為特別處理,不含有煙草物質,屬于合法銷售的加熱非燃燒的非煙草煙彈品牌煙彈,也屬于市場空白。它是和霧化電子煙非同一產品線的高端產品。這種類別產品在國內生產廠家較少,其他大品牌例如悅刻的電子煙線下店也愿意跨品牌進行銷售,因此它可以作為品牌滲透類的產品進入各種品牌直營店,為品牌延伸進行助力。

    徠米電子煙目前主要靠線下銷售進行銷售網絡的鋪設,直營店鋪的陳設為徠米直營店鋪的物料和陳設分為 1.2 米和 2.4 米售賣車,2-3 平方米的店中店,5-10 方米的mini 店,15-20 平方米的體驗店。目前已經鋪設開立了134家線下加盟店鋪,全國20個省設立了省級代理,月銷售增長速度達到30%。

    相信未來,徠米電子煙提高市場占有率,形成獨到的高端使用人群,是指日可待的事情。

    三、關于電子煙的法規

    有關電子霧化器的法規及政策因不同國家或地區而異。

    美國的政策和態度如下:

    1、擬禁售調味電子煙

    2019年9月11日,美國衛生與公眾服務部11日宣布,其下屬的食品和藥物管理局將在未來數周內出臺規定,禁止銷售非煙草味的電子煙產品,以控制青少年吸電子煙的趨勢。

    2、PMTA調整

    2019年3月中旬,FDA重新調整了電子煙企業需提交PMTA的申請時間至2021年8月15日。

    2019年6月份FDA發布了關于PMTA(煙草產品市場準入申請)的技術指南終稿。

    3、立法進行稅收調整

    在2019年通過稅收法案并開始正式征稅的州省和日期:

    紐澤西 2019年9月29號開始生效/新墨西哥州 2019年7月1號開始生效/紐約州 2019年 12月1號開始生效/康涅狄格州 2019年10月1號開始生效/佛蒙特 2019年7月1號開始生效/華盛頓 2019年10月1號開始生效

    4、立法對包裝進行要求

    對電子煙包裝提出明確要求并在2019年生效的州?。?/p>

    阿拉巴馬 2019年8月1號開始執行/密歇根州 2019年9月2號開始執行/南卡羅拉州 2019年4月26號開始執行

    5、營業執照要求

    立法要求零售店取得執照才能銷售電子煙并在2019年要求執行的州?。?/p>

    阿拉巴馬州 2019年8月1號執行/阿拉斯加州 2019年1月1號執行/紐約 2019年12月1號執行。

    電子霧化器的主要市場如美國和歐洲地區,行業相關法規主要用于指導電子煙市場的發展,其原則為了確保電子煙的質量及消費者的健康。

    就中國電子煙市場而言,2016年5月,國家煙草專賣局在《關于加強煙草專賣市場監管工作的通知》中支出,加熱不燃燒卷煙是煙草制品,要把含有煙草成分的加熱不燃燒煙彈,也就是日本特別流行的Iqos煙彈作為監管范圍。(注:徠米適配Iqos的煙彈不含煙草成分,不屬于監管范圍)

    2017年11月,中國點子上會電子煙行業委員會發布了《電子煙霧化類器具產品通用規范》和《電子煙霧化液規范》,宣告著電子煙生產規范正式出臺。

    2017年12月,深圳市電子煙商會也發布了《電子煙通用技術要求》等技術規范文件。

    2018年8月28日,國家市場監管總局、國家煙草專賣局聯合發布了禁止向未成年人出售電子煙的通告。

    2020年11月1日,國家煙草專賣局、國家市場監督管理總局再次聯合發布《關于進一步保護未成年人免受電子煙侵害的通告》,敦促電子煙生產、銷售企業或個人及時關閉電子煙互聯網銷售網站或客戶端;敦促電商平臺及時關閉電子煙店鋪,并將電子煙產品及時下架;敦促電子煙生產、銷售企業或個人撤回通過互聯網發布的電子煙廣告。電子煙網上銷售時代正式結束。

    總體來說,各個國家對電子煙的生產,銷售以及營銷將都有若干規定及限制,但是這種監管,對擁有競爭優勢、規范經營的公司將占領更大的市場份額。更深刻而言,對于線下鋪設能力較強的公司反而是一種利好。

    隨著技術的越發成熟,更多差異化的電子煙將會不斷涌現,吸引消費者的注意力。電子煙產品標準會不斷提高,行業進步門檻提升,這為行業現有的參與者提供了發展機會。

    隨著電子煙行業的迅速發展,市場需求持續增長,各生產商將建成自動化生產流程以提高其生產能力,保障市場供應。

    電子煙已經成為一種創新的電子消費品,在全球范圍內越來越流行。

    全球電子煙市場的強勁增長主要歸因于消費者對電子煙產品的接受程度不斷提高、煙草公司的積極營銷活動以及電子煙制造商加快了創新及產品研發進程。

    2019年,按受益計算,全球電子煙市場規模達到447億美元。目前,全球煙草市場主要以卷煙和電子煙為主。就銷售額而言,卷煙在左右煙草制品中占據主導地位,2018年其占煙草制品總銷售額的89%。但隨著電子煙日益風靡全球,電子煙的市場份額會進一步增加。

    電子煙逐步普及的時代,正式向我們徐徐拉開了帷幕。

    +vx:qunfengshe

    <tt id="mmm0m"></tt>
  • <tt id="mmm0m"><table id="mmm0m"></table></tt>
  • <tt id="mmm0m"><table id="mmm0m"></table></tt>
  • <tt id="mmm0m"><table id="mmm0m"></table></tt>
  • <li id="mmm0m"><table id="mmm0m"></table></li>
  • <tt id="mmm0m"><table id="mmm0m"></table></tt>
  • <li id="mmm0m"><tt id="mmm0m"></tt></li>
    <li id="mmm0m"><tt id="mmm0m"></tt></li>
  • 与亲女乱系列小说h 石家庄市| 千阳县| 新昌县| 阳新县| 云梦县| 濮阳县| 洛宁县| 石城县| 南昌市| 定远县| 芜湖县| 略阳县| 天长市| 疏附县| 中宁县| 长武县| 徐汇区| 黑河市| 巴彦淖尔市| 淳安县| 木里| 个旧市| 孟连| 通河县| 太湖县| 彭山县| 定南县| 蒲江县| 盐城市| 新竹县| 昌图县| 博白县| 承德县| 衡阳市| 耿马| 山东| 晋江市| 武陟县| 新蔡县| 西畴县| 巧家县| http://444 http://444 http://444